Golf Lag and the Compound Pendulum

0

This article will describe how you can use a little understood, but fairly simple, mechanical principle to generate Tour-calibre club head speed in your golf swing, while improving your accuracy and consistency, all with less effort and less strain on your body.

There are no “secrets” in the golf swing, despite what people try and sell you.  There is no “Golfer’s Holy Grail”.

There’s nothing that professional golfers know that they’re deliberately keeping from amateurs.  In recent years, dramatic breakthroughs in science and technology have completely transformed our understanding of the golf swing, and the best teachers are constantly searching for new and better ways to share all of these new ideas with you.

There is one phenomenon, however, that might deserve the label of “the secret” of power in the golf swing, and that’s the compound pendulum effect.

It is the least understood mechanism in the golf swing, by golfers and instructors alike, and yet, when it is applied correctly, it can completely transform your golf swing.

How effectively you incorporate the compound pendulum effect into your golf swing is the single biggest difference between you, the amateur, and leading professional golfers.

 

The Compound Pendulum Effect

The single most crucial mechanism for enabling golfers to achieve maximum club head speed is the compound pendulum effect.

The compound pendulum effect occurs when you have two or more masses, connected in such a way as to rotate around a central axis, such that momentum is transferred from one mass to the next.

Figure 1. The compound pendulum

Figure 1.  The compound pendulum.

Figure 1 shows a computer simulation (verified by real-world experiments) of 2 pendulums falling under the force of gravity.

Each pendulum is composed of 4 weighted discs, ranging from 90lbs (40.8kg) for the innermost (proximal) disc, down to 5lbs (2.3kg) for the outermost (distal) disc.

With the grey pendulum, in the background, the weights are connected by rigid links.  In the blue, compound pendulum, the weights are connected by flexible cords.  These cords are soft, they have no stiffness, so they don’t provide any power to the system through recoil.

Everything else is identical between the two pendulums.  Both are released, at exactly the same time, to fall under the influence of gravity alone.

The velocity of the smallest mass (the most distal point) of each pendulum is being measured frame by frame, and is displayed on the diagram – the grey, rigid pendulum on the bottom, and the blue, compound pendulum at the top.

The swings of the two pendulums take the same amount of time to reach the bottom of the swing arc — they are in about the same spot in the final frame.

The maximum velocity of the rigidly connected system is approximately 20mph.  The maximum velocity of the compound pendulum (masses connected by flexible cords) is approximately 37mph.

By making the pendulum connectors flexible, we achieve an 85% increase in maximum velocity, rising to 95% at the bottom of the swing arc.

 

When you look closely, you can see some interesting phenomena.

From the beginning, the outer (lighter) segments of the compound pendulum lag behind the inner (heaviest) weight.

The outer 2 segments of the compound pendulum lag behind the rigid pendulum.  But the inner (heaviest) segment of the compound pendulum quickly gets a significant head start over its rigid cousin.

As the swing progresses you can see that each of the weights of the compound pendulum, in turn, lags behind it’s heavier (inside) neighbour.  As the swing approaches the bottom of its arc, the lighter weights accelerate rapidly to catch up with the heavier ones.

Shortly before the bottom of the swing, the heaviest weight in the compound pendulum slows down — the heaviest rigid weight catches up with it.  It’s clear that there is a complex sequence of movements as the pendulums gather speed.

You can see exactly what is happening with the help of the following 2 graphs:

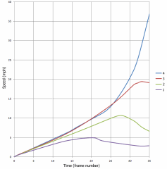
Figure 2.  Pendulum speed (most distal mass)

Figure 2.  Pendulum speed (most distal mass).

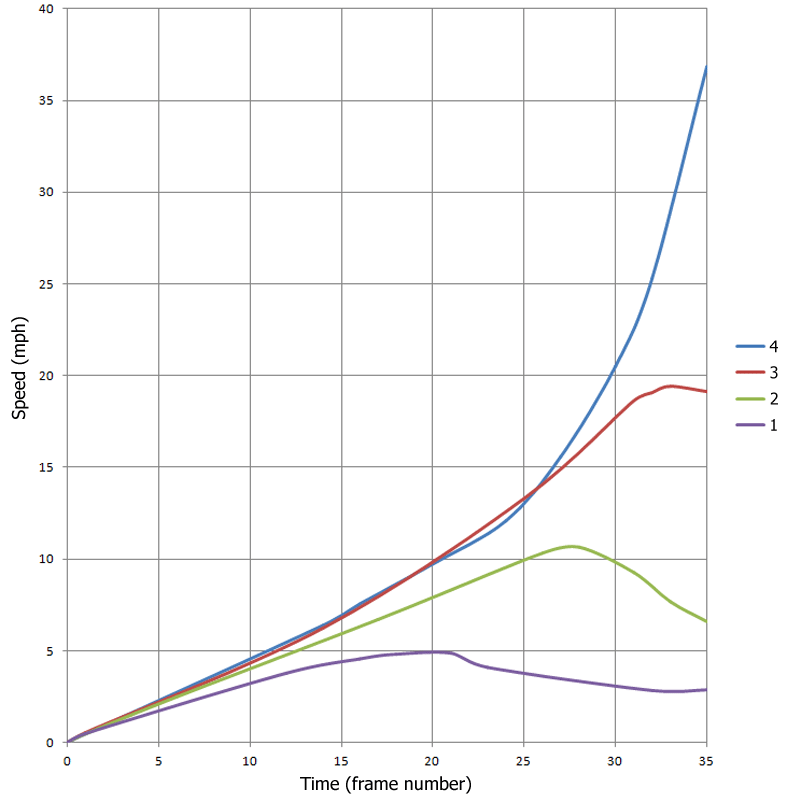
Figure 3.  Individual segment speeds in compound pendulum

Figure 3.  Individual segment speeds in compound pendulum.

In Figure 1, you can clearly see that the outer segment (the smallest mass) of the compound pendulum (blue) accelerates relatively slowly to begin with, lagging well behind the rigid pendulum (grey).

About two-thirds of the way into the swing, the compound pendulum begins to accelerate faster than the rigid pendulum does at any point in its swing.  And approximately 80% (four-fifths) of the way through the swing, the compound pendulum overtakes the rigid one.

Although you know that both pendulums reach the bottom of the swing arc together, the compound pendulum is moving almost twice as fast than the rigid pendulum at this point.

At the bottom of the swing arc, the rigid pendulum has started to decelerate significantly.  The compound pendulum is still accelerating at the bottom, its rate of acceleration has only just started to decrease as the outermost segment finally catches up the one inside it.

In Figure 2, you can see the accelerations and decelerations of the four segments of the compound pendulum.  The speeds of the four segments, from the innermost (heaviest) weight to the outermost (lightest) weight, are represented by the purple, green, red, and blue curves respectively.

You can see clearly here that each segment in turn accelerates to a progressively higher peak speed and then decelerates.  First the purple (heaviest, proximal segment) peaks and then slows, then the green, and then the red as the blue (lightest, most distal) segment accelerates rapidly.

All of the segments accelerate gradually and smoothly, staying at much the same speed for the first third of the swing.

The outer 2 segments move at much the same speed for 80% of the swing.  In the middle of the swing, at the same point that the heaviest segment (purple) starts to approach its peak speed, the third segment (red) actually outraces the outermost segment (blue) slightly — the red curve goes above the blue curve — for the only time during the swing.

The outer segment (blue) then kicks ahead, accelerating rapidly, as the heaviest segment (purple) decelerates and the second (green) segment approaches its peak speed.  This happens at about the same time as the compound pendulum begins to outpace the rigid one in Figure 2.

 

What does all this tell us?

This simulation demonstrates how velocity is amplified as a result of the physics associated with rotational motion — exactly the same effect can be seen in cracking a whip.

It also emphasizes the effect of “lag” between the segments of a swinging system.

A rigidly connected system cannot create the same final velocity as a system that allows the sequential transfer of momentum from segment to segment (the compound pendulum).

The key is the “sequential transfer of momentum” — the heavier segments each, in turn, gather energy in the form of momentum, and then transfer that energy outwards, causing them to decelerate, and multiplying the acceleration of the segment outside it.

The compound pendulum has a precise and specifically timed sequence through which the energy is transferred along the chain.

When this kinematic sequence is allowed to happen, the result is a considerable increase in the peak speed of the outermost, lightest segment.

 

How Does This Relate to the Golf Swing?

The compound pendulum demonstrates several principles that are vital to maximum efficiency in the golf swing.

The movement of the golfer’s body during the swing is much more complicated than the “4 weights on a rope” simulation described above.  But when we compare this simulation to the actual movements of a typical professional golfer, something remarkable becomes apparent; the same physics that generates such amazing speed in the compound pendulum also generates speed in the golf swing.

Take a look at the following 2 graphs:

Figure 4. Individual segment speeds in compound pendulum

Figure 4.  Individual segment speeds in compound pendulum.

Figure 5. Tour professional golf swing kinematic sequence

Figure 5.  Tour professional golf swing kinematic sequence.

Kinda spooky, huh?

The graph in Figure 4 is the same graph that you saw above, in Figure 3.  It shows the speeds of each segment in our compound pendulum.

The speeds of the four segments, from the innermost (heaviest) weight to the outermost (lightest) weight, are represented by the purple, green, red, and blue curves respectively.

Figure 5 shows the rotational speeds of each of the main body segments during the downswing of a typical professional golfer, measured using sophisticated 3D motion capture technology.

The speeds of the four segments also go from the inner, larger parts of the body to the outer, lighter parts.  They are the hips/pelvis (purple), the chest/thorax (green), lead arm (red), and hands/club (blue).

 

You can see the same phenomena taking place in both graphs:

All of the segments accelerate gradually and smoothly, staying at much the same speed for the first third of the swing.

Each segment accelerates to a progressively higher peak speed and then decelerates, in the same sequence.  First the hips (purple) peak and then slow, then the chest (green), and then the arm (red) as the club (blue) accelerates rapidly through to the bottom of the swing arc.

The arm and club move at much the same speed for the first half of the downswing.

In the middle of the downswing, as the hips start to approach their peak speed, the arms actually outrace the club slightly, just before the club starts to accelerate hard late in the swing.  This is the club lagging behind the lead arm.

The club then releases, accelerating rapidly, as the hips decelerate and the chest approaches its peak speed.

If you look again at the compound pendulum swing in Figure 1, you can see this lag occurring very clearly.  This demonstrates that lag happens naturally — if the golfer moves in the correct sequence, in sympathy with his body’s compound pendulum, he will generate plenty of lag coming down, and the club will release into impact automatically, with enormous speed, without any conscious effort or manipulation.  In fact, any attempt to “hold on” to the lag, or to force the release by adding power with your hands, will only disrupt the sequence and slow the club down through impact.

If you move correctly then lag is effortless, the universe does it for you!

Note that, when we compare the speed of our compound pendulum to the golf swing, the outer segment represents the hands.  That’s why the lag isn’t quite so pronounced in Figure 4, though it’s still there.  The peak hand speed of 37mph that we see in the pendulum is enough to generate over 100mph of club head speed with the driver, and that’s just using gravity!

 

For more information on the golf swing kinematic sequence, including a detailed analysis of the Downswing phase, see Golf Swing Sequence and Timing.

 

What Does All of This Mean to You, the Golfer?

It means that the universe is on your side — if you play nicely!

If you move in the proper sequence, physics will help you to generate enormous club head speed.

Muscular effort plays a part, but the compound pendulum effect is far more important.

If we ask a golfer with a near-perfect kinematic sequence to swing with minimal muscular effort, just enough effort to make a full turn and control the golf club, we find that they can still hit the ball further than the average amateur.

The golfer who works in harmony with nature, who moves with a kinematic sequence that is sympathetic with the mechanics of the compound pendulum, will hit the ball further, with far less effort, than the 200lb “gorilla” with forearms like Popeye who moves with imperfect timing.

And because a golf swing based on the compound pendulum effect is, by its very nature, smoother and more efficient than the disruptive muscular swing that most amateurs attempt — it must consist of smooth, sequenced accelerations and decelerations in order to work at all — it is much more stable, and therefore more accurate, more consistent, and it places far less strain on your body.

The club will arrive at the ball in a much more predictable fashion, because the laws of physics say it must, and you are letting physics take control.  And your body will decelerate naturally, as it transfers its energy efficiently out to the club, so your hips and back don’t need to take so much strain trying to slow you down in the follow-through.

When we see this in action in a great golf swing, we describe it as fluid, graceful, as having good rhythm and timing, good tempo.  This is because it is working in harmony with the natural rhythms of the golfer’s body segments and the golf club.

When we look at a typical amateur golf swing, we see someone who is fighting against those natural rhythms.

The next time you see the brute at your local course grunting as he tries to crush the ball, with all of his strength, spraying it all over the park, think of the 120lb (54kg) young woman on the LPGA Tour who can outdrive him every time, seemingly effortlessly.

The bottom line is; if you don’t work with the compound pendulum effect, then it is impossible to have arms big and strong enough to swing the club as fast as someone who does.

 

So how can you make the most of your strength and athleticism?

Look again at the compound pendulum swinging in Figure 1.  It should be intuitively obvious to you that if, during the swing, you applied additional force to any of the segments (especially the outer ones), the whole sequence could easily be disrupted, resulting in a chaotic swing and significant loss of speed at the bottom.

It’s also fairly easy to imagine how you might speed up the compound pendulum by applying force gradually, in the right places and with precise timing.

Too much force, in the wrong place or at the wrong time, and the swing is ruined.  You would have far better results (a smoother, faster, more predictable swing) if you just left it alone.

The same applies to your golf swing.  You do want to generate additional speed by using your muscles, of course you do, but this must be done carefully.

Trying to apply power at the wrong time, for example by using your arms too early in the downswing, will not only slow your club down through impact, it will also result in inaccuracy and inconsistency.  Imagine the mess you would make of the compound pendulum if you gave the third weight (the arms) a push early in the swing.  You would need to apply more, impossibly complex, forces just to get the outside weight (the club) back on track.

The problem for the amateur is, in this example, that using your arms early feels powerful.  Your arms and hands are connected directly to the golf club, and they move faster than the rest of your body, and you want to generate speed in the club, right?

It seems counter-intuitive, but if you just backed off, let the arms drop from the top, let the compound pendulum that is your body do its seemingly miraculous thing, by moving in the correctly timed sequence, and then applied power with your arms much later in the downswing, the benefits would be astonishing!

 

We all know that when we make an “easy swing” we’re more accurate, and often hit the ball further.  The problem that most amateur golfers have, is that they think this happens just because they struck the ball more cleanly.  They can’t make themselves believe that (what feels like) less effort will generate more power.

They think “If only I could strike the ball that well when I’m swinging as fast as I can!”  So after having some success by swinging with less effort, they try to nudge up the effort a notch, searching for that perfect combination of ball striking and power, “just like the professionals do it”.

Well, as we hope you’ve seen here, that’s not what the professionals do.

Tour-calibre club head speed comes from moving in a precise and specifically timed sequence, and applying muscular power carefully and in sympathy with the compound pendulum effect.

Work with the universe, not against it, for a much more powerful, accurate, consistent, and a safer, golf swing.

The Swing like a Champion system will quickly teach you how to develop a Tour-calibre kinematic sequence in your own golf swing.

If you have any questions or comments about this or other articles on Golf Loopy, please send us an email.

 

You May Also Like

The Role of the Right Arm in the Golf Downswing, which describes how the right arm plays a crucial role in the compound pendulum that is the golf swing; transferring energy to the golf club.

An overview of the golf swing kinematic sequence, including a detailed analysis of the Downswing phase is presented in Golf Swing Sequence and Timing.

Golf Swing Sequence and Timing – Common Faults, which gives a comparison of the kinematic sequence for typical amateurs and Tour Pros, showing the common flaws that may plague your own golf swing.

Introduction to the Swing like a Champion System

Overview of a Great Golf Swing, which summarises the correct movements in a great golf swing.

Golf Anatomy and Kinesiology, a collection of articles describing the roles of the muscles involved in the golf swing.

 

» Golf swing instruction home page.

Share the knowledge!